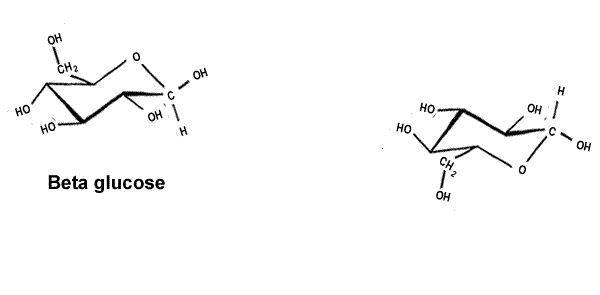
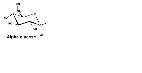
Allpool on esitatud kahe olulisema sahhariidi moodustamise skeemid. Vali vastuste pangast nende valemid ja omadused.
Vali vastuste pangast lünka sobiv vastus, klõpsa sellel ja lohista õigesse lünka. Vabasta hiire klahv alles siis, kui lünk on muutunud halliks.
|
|
Tselluloos
|
Tärklis
|
|
Valem
|
... |
... |
|
Esinemine looduses
|
... |
... |
|
Lahustuvus
|
... |
... |
|
Omadused
|
... |
... |
|
Kasutusala
|
... |
... |
|